中间体合成
从药物杂质到医药中间体合成
拥有数十年合成经验
- 专注于高难度化合物合成
- 全球唯一ISO 17034双体系认证
- 国家高新技术企业
- 4000+平方米研发中心
- 70+中外博士研发团队
- 150台(套)研发设备,120+通风橱
- 18项专利
完整质量管理体系
为客户提供高品质产品和服务
通过十几年的持续技术创新和经验积累,CATO奠定了完整的质量管理体系,相继取得ISO9001、ISO17034、CNAS等国际认证。
同时以通过率100%,多次顺利通过美国、澳大利亚、波兰、日本以及国内制药公司客户和机构的审计,为全球新药提供高质量的研发、生产一站式服务。
超过150+套(台)设备
为品质保驾护航
对质量的重视是我们赖以生存和发展的基础,是我们提供的产品与服务最基本的要求。CATO按照国际质量规范建立了一套科学、严格、全面的质量预防和保证体系。通过GC-MS、色谱仪、核磁共振、扫描电镜、紫外线等先进检测设备,将质量管理贯彻落实到原料、库存、生产、检测、销售、验证、培训等所有生产经营活动的每一个环节,并将“一切行为有控制、可追溯”作为CATO人的工作行为准则。
70+中外博士研发团队

制备分离实验室
从事手性色谱分离及制备技术研发,并应用于化合物的分离纯化。同时,以有机合成方法学为创新驱动力,实现结构多样手性化合物库的建立。

工艺路线研究实验室
由实验室研究向小量试制、中试生产阶段的技术工艺路线,控制中间体批量生产过程中微杂含量,提高收率,寻找适用于工业级原料生产的最佳反应条件和处理方法。

公斤级实验室
多用途、小规模药物制备平台,验证及生产非无菌中间体,用于产品验证、中试放大,可满足特定项目的粒度、晶型、溶残、溶解度等要求。

中间体合成实验室
可实现各种复杂条件反应,并实现反应过程中精准结构确证,能够进行氢谱、碳谱、氟谱及各种二维谱检测,保证多手性中心化合物结构确证的准确度。
1000+交付案例
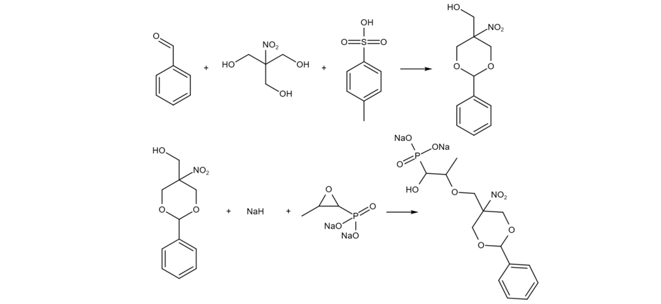
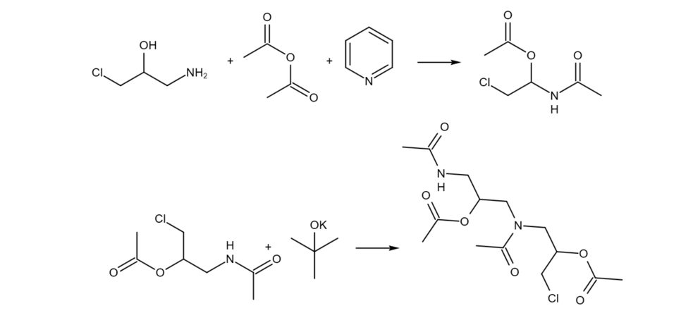
具备高难度化合物合成能力
目前CATO服务于全球超过500家制药公司、生物技术等公司,项目种类覆盖从临床前到商业化阶段的全周期,截止2025年CATO累计交付超过1000个项目。
公司在高端氟化学、不对称手性合成、糖苷及生物酶技术、连续化微反应器等关键核心技术领域拥有核心技术。
4000平方合成实验室相册





技术合作平台
在自主研发的同时,公司还与国内外知名的院所开展了紧密,充分发挥产、学、研互动优势,提升研发效率,同时也大大的提高了公司技术创新的速度和力度,为公司的发展提供了强有力的技术支撑。





























